Test Case Head-On Collision
Introduction
This page describes one of a series of selected Test Cases which have been analysed/verified by use of the IWRAP program and by hand calculation. Only the number of collision candidates is calculated.
This test case calculates the number of Head-On collisions per year.
The Scenario
To calculate this scenario with the IWRAP tool, do the following steps:
- Define leg;
- define traffic distribution in each direction;
- define causation factors;
- define number of ships in each direction;
- run the job and read results.
Note that we here use 10000 crude oil tankers in the length interval 200-225m.
From this length interval and ship type IWRAP looks up the breadth and speed using the predefined dimension tables described Here.
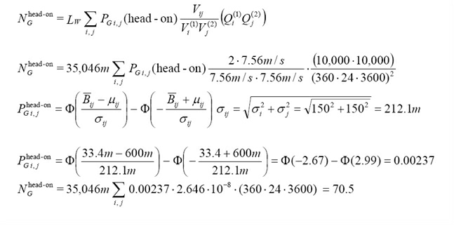
Hand calculation of the Head-On Collision Senario
This result is equal to the result calculated by IWRAP.
See also Test Case Overtaking Collision
|
Source: IWRAP Mk II, Basic Modelling Principles for Prediction of Collision and Grounding Frequencies, (draft working document), Rev. 4, 2008.03.09, Peter Friis-Hansen, Technical University of Denmark. |

