Test Case Overtaking Collision
Introduction
This page describes one of a series of selected Test Cases which have been analysed/verified by use of the IWRAP program and by hand calculation. Only the number of collision candidates is calculated.
This test case calculates the number of Overtaking collisions per year on a leg where ships sail in the same direction but at different speeds.
The Scenario
To calculate this scenario with the IWRAP tool, do the following steps:
- Define leg;
- define traffic distribution in each direction;
- define causation factors;
- define number of ships in each direction;
- run the job and read results.
Hand calculation of the Overtaking Collision Scenario
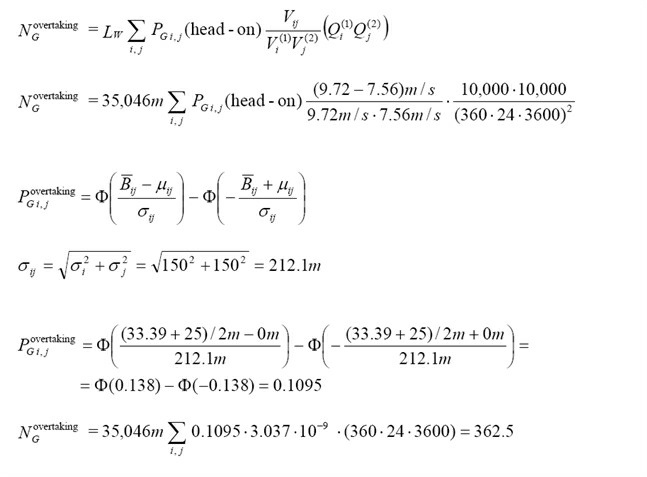
The only difference to the Head-On Collision calculation is the sign of the two speeds.
This result is equal to the result calculated by IWRAP.
|
Source: IWRAP Mk II, Basic Modelling Principles for Prediction of Collision and Grounding Frequencies, (draft working document), Rev. 4, 2008.03.09, Peter Friis-Hansen, Technical University of Denmark. |

